CF2003D Turtle and a MEX Problem

Arahc 11.0

题面

简化题意

给定 nn 个序列,你有一个数 xx,你可以执行任意次(可以为零)如下操作:

  • 选定一个数列,将 xxxx 和次数列组成的序列的 mex\mathrm{mex}(最小的未出现的自然数)。

定义 f(x)f(x) 为你的初始数字为 xx 时可以通过得到的最大值。求 i=0mf(i)\sum_{i=0}^m f(i)

n2×105n\leq 2\times 10^5,序列长度和 2×105\leq2\times 10^5m109m\leq 10^9,值域 109\leq 10^9

EasyVersion:无特殊限制。

HardVersion:不能重复选择同一个数列。

题解

一个很显然的观察:将任意数字带入一个序列求 mex\mathrm{mex} 时,只会有两种情况:

  1. 得到的还是原来的数列的 mex\mathrm{mex}
  2. 当且仅当 xx 是原数列 mex\mathrm{mex} 时发生,得到除了这个数之外的“次级 mex\mathrm{mex}”。

于是我们对于每个数列求出其 mex\mathrm{mex} 和次级 mex\mathrm{mex}。令其为 a,ba,b。于是任意 a\neq a 的数字跑一次这个操作会变成 aa,等于 aa 的数字跑一次会变成 bb,把数字转换关系连边。任意数连到 aa 不现实,只需要连一条有向边 aba\rightarrow b 即可。

然后你会得到一个非常美丽的有向图,显然 b>ab>a,所以这个有向图是一个非常美丽的 DAG。现在考虑 EasyVersion,发现对于一个数 xx,假设 xx 不属于任意的 aa,就可以先随便丢到一个数列里变成某一个 aa,然后沿着 aba\rightarrow b 的路线不断找到一个最大的 bb。换句话说,我们只需要得到任意 aa 能得到的最大的 bb,然后看看是 xx 更大还是 bb 更大就好了。对于等于某个 aaxx,依然可以先丢到其它数列里变成另外的 aa,然后得到最大的 bb

于是,对于 EasyVersion,f(x)f(x) 的计算方式就是比较 xx 和前面得到的最大的次级 mex\mathrm{mex} 比较最大值。求 f(x)\sum f(x) 也很好实现。

然后考虑 HardVersion。

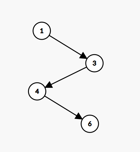
注意到同样的数列不能用两次,现在假设有向图长这样:

然后假设我们有一个 x=2x = 2,最优的方式是先通过 353\rightarrow 5 这条边对应的数列变成 33,然后沿着 3463\rightarrow 4\rightarrow 6 变成 66

假设这个图变成下面这样:

可以发现 x=2x=2 的最优方式就是通过 464\rightarrow 6 这条边变成 44

由上面的例子,不难发现:若存在一个点的出度 2\geq 2,则任意数都可以先通过这个点的某一条边变成这个数,然后沿着其他的路径走到最大的数。也就是说,出度 2\geq 2 能到的最大的点,任意数都可以得到。或者,任意数都可以通过任意一条有向边 aba\rightarrow b 得到 aa。于是,任意数能得到的最大的数就可以直接处理了。每个数能得到的最大的数可以建反图解决。

注意考虑不变的情况,实现上有一定的细节。

代码

以下是 HardVersion 的代码。

1
2
3
4
5
6
7
8
9
10
11
12
13
14
15
16
17
18
19
20
21
22
23
24
25
26
27
28
29
30
31
32
33
34
35
36
37
38
39
40
41
42
43
44
45
46
47
48
49
50
51
52
53
54
55
56
57
58
59
60
61
62
63
64
65
66
67
68
69
70
71
72
73
74
75
76
77
78
79
80
81
82
83
84
85
86
87
88
89
90
91
92
93
94
95
96
97
98
99
100
101
102
103
104
105
106
107
108
109
110
111
112
113
114
115
116
117
118
119
120
121
122
123
124
125
126
127
128
129
130
131
132
133
134
135
136
137
138
139
#include<bits/stdc++.h>
#define int long long
#ifdef DEBUG
#define debug(...) fprintf(stderr,__VA_ARGS__)
#else
#define debug
#endif
using namespace std;
bool Begin;
const int max_n=200005;
int read(){
int x=0;bool w=0;char c=getchar();
while(!isdigit(c)) w|=c=='-',c=getchar();
while(isdigit(c)) x=x*10+(c^48),c=getchar();
return w?-x:x;
}

int n,m;
vector<int> a;

int tot;
map<int,int> mp;

int ps[max_n];
int ID(int x){
if(mp[x]) return mp[x];
++tot;
mp[x]=tot;
ps[tot]=x;
return tot;
}

struct graph{
int nx[max_n],ct,hd[max_n],to[max_n],deg[max_n];
graph(){ct=0;}
void clear(int n){
for(int i=1;i<=n;++i)
hd[i]=0,deg[i]=0;
ct=0;
}
void add(int v,int u){
++deg[v];
nx[++ct]=hd[u],hd[u]=ct,to[ct]=v;
}
}e;
vector<int> L;
priority_queue<int> R;

int ed[max_n];
void dfs(int u,int num){
ed[u]=num;
for(int i=e.hd[u];i;i=e.nx[i]){
int v=e.to[i];
if(!ed[v])
dfs(v,num);
}
}

bool End;
#define File ""
signed main(void){
#ifndef ONLINE_JUDGE
freopen(File ".in","r",stdin),
freopen(File ".out","w",stdout);
#endif
debug("Memory: %lf MB\n",(&Begin-&End)/1024.0/1024);
for(int T=read();T;--T){
n=read(),m=read();
e.clear(tot);
L.clear();
for(int i=1;i<=tot;++i)
ps[i]=0,ed[i]=0;
mp.clear();tot=0;
while(!R.empty()) R.pop();
for(int i=0,_n;i<n;++i){
_n=read();
a.clear();
a.emplace_back(-1);
for(int j=0;j<_n;++j)
a.emplace_back(read());
sort(a.begin(),a.end());
a.erase(unique(a.begin(),a.end()),a.end());
a.emplace_back(1145141919810LL);
_n=a.size();
int l=-1,r=-1;
for(int j=1;j<_n;++j)
if(a[j]!=a[j-1]+1){
if(l==-1){
l=a[j-1]+1;
if(a[j]!=a[j-1]+2){
r=l+1;
break;
}
}
else{
r=a[j-1]+1;
break;
}
}
L.emplace_back(l);
e.add(ID(l),ID(r));
R.push(r);
}
sort(L.begin(),L.end());
L.erase(unique(L.begin(),L.end()),L.end());
while(!R.empty()){
int st=mp[R.top()];R.pop();
if(!ed[st])
dfs(st,ps[st]);
}
int res=0,mx=-1;
int _n=L.size();
for(int i=0;i<_n;++i)
mx=max(mx,L[i]);
for(int i=1;i<=tot;++i) if(e.deg[i]>=2)
mx=max(mx,ed[i]);
int cnt=0;
if(mx>m){
for(int i=0;i<_n;++i) if(L[i]<=m){
res+=max(mx,ed[mp[L[i]]]);
++cnt;
}
res+=(m+1-cnt)*mx;
}
else{
for(int i=0;i<_n;++i) if(L[i]<=mx){
res+=max(mx,ed[mp[L[i]]]);
++cnt;
}
res+=(mx+1-cnt)*mx;
res+=(mx+1+m)*(m-(mx+1)+1)/2;
for(int i=0;i<_n;++i) if(L[i]>mx && L[i]<=m)
if(ed[mp[L[i]]]>L[i])
res=res-L[i]+ed[mp[L[i]]];
}
printf("%lld\n",res);
}
return 0;
}
  • 标题: CF2003D Turtle and a MEX Problem
  • 作者: Arahc
  • 创建于 : 2024-08-27 08:00:00
  • 更新于 : 2025-04-21 15:46:14
  • 链接: https://arahc.github.io/2024/08/27/SOL-CF2003D/
  • 版权声明: 本文章采用 CC BY-NC-SA 4.0 进行许可。
评论
目录
CF2003D Turtle and a MEX Problem